Miniature du produit Fiche technique

Fiche technique : Panduit CT-3980/BT outil à main

Panduit Outils Outil à main

De quoi avez-vous besoin ?

En validant, je déclare accepter sans réserve les Conditions Générales et la Politique de confidentialité de wenony.ch. En validant les informations, je confirme commander un contrat WeNony Premium au tarif de 0,90 CHF le premier mois, puis au tarif de 49,00 CHF par mois avec un engagement de 12 mois. Je confirme être habilité à engager l’entreprise dans ces conditions.

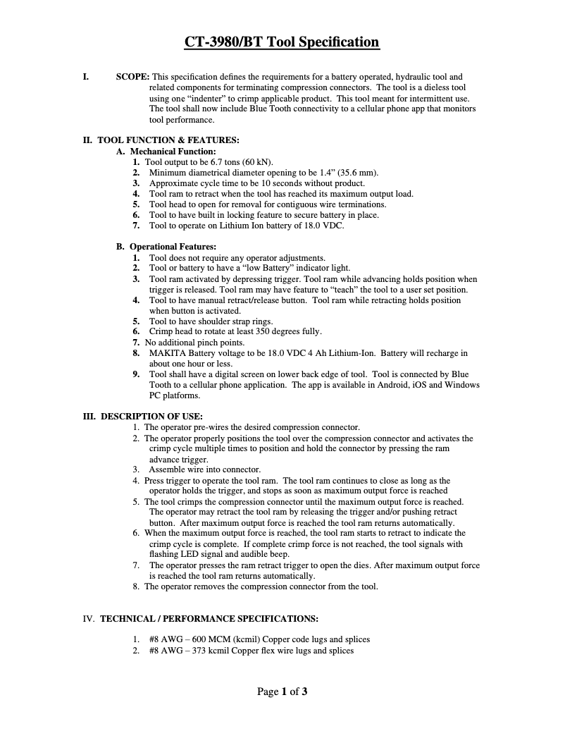
Présentation de la notice : Fiche technique Outil à main Panduit CT-3980/BT

Recherchez parmi les 3 pages de la notice : Fiche technique Outil à main Panduit CT-3980/BT pour trouver les informations qu'il vous manque. Vous ne trouvez pas les réponses à vos questions ? Réservez une vidéo assistance en moins de 2 minutes.

Caractéristiques

Marque Panduit
Modèle CT-3980/BT
Catégorie Outils
Type de produit Outil à main
Nombre de pages 3 Pages
Type de fichier