Miniature du produit Manuel de l'utilisateur

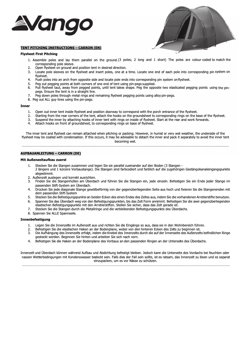
Manuel de l'utilisateur : Vango Carron 400 tente

Vango Jardin et extérieur Tente

De quoi avez-vous besoin ?

En validant, je déclare accepter sans réserve les Conditions Générales et la Politique de confidentialité de wenony.ch. En validant les informations, je confirme commander un contrat WeNony Premium au tarif de 0,90 CHF le premier mois, puis au tarif de 49,00 CHF par mois avec un engagement de 12 mois. Je confirme être habilité à engager l’entreprise dans ces conditions.

Présentation de la notice : Manuel utilisateur Tente Vango Carron 400

Recherchez parmi les 3 pages de la notice : Manuel utilisateur Tente Vango Carron 400 pour trouver les informations qu'il vous manque. Vous ne trouvez pas les réponses à vos questions ? Réservez une vidéo assistance en moins de 2 minutes.

Caractéristiques

Marque Vango
Modèle Carron 400
Catégorie Jardin et extérieur
Type de produit Tente
Nombre de pages 3 Pages
Type de fichier
Page / 3
Page n°1 - Manuel utilisateur Vango Carron 400