Miniature du produit Manuel de l'utilisateur

Manuel de l'utilisateur : Whirlpool AZB 9682 sèche linge

Whirlpool Electroménager Sèche linge

De quoi avez-vous besoin ?

En validant, je déclare accepter sans réserve les Conditions Générales et la Politique de confidentialité de wenony.ch. En validant les informations, je confirme commander un contrat WeNony Premium au tarif de 0,90 CHF le premier mois, puis au tarif de 49,00 CHF par mois avec un engagement de 12 mois. Je confirme être habilité à engager l’entreprise dans ces conditions.

Présentation de la notice : Manuel utilisateur Sèche linge Whirlpool AZB 9682

Recherchez parmi les 7 pages de la notice : Manuel utilisateur Sèche linge Whirlpool AZB 9682 pour trouver les informations qu'il vous manque. Vous ne trouvez pas les réponses à vos questions ? Réservez une vidéo assistance en moins de 2 minutes.

Caractéristiques

Marque Whirlpool
Modèle AZB 9682
Catégorie Electroménager
Type de produit Sèche linge
Nombre de pages 7 Pages
Type de fichier
Page / 7
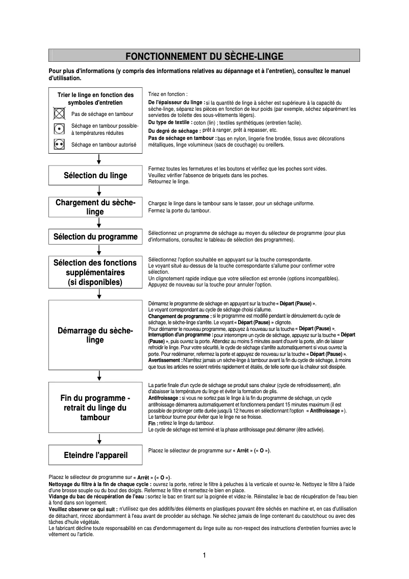
Page n°1 - Manuel utilisateur Whirlpool AZB 9682